Tabellen etc.

Seitenlayout überarbeitet 12.08.2024

-------------------------------------------------------------------------------------

GILERA SATURNO: Liste der Wellendichtringe

-------------------------------------------------------------------------------------

BI4: Die mir bekannten Getriebeabstufungen (ohne Gewähr)
(Quelle: Privatarchiv)

-------------------------------------------------------------------------------------

BI4: Die mir bekannten Ventiltellerdurchmesser (ohne Gewähr)
(Quelle: Privatarchiv)

Neue Saturnoventile (Einlaß) mit 31,5 mm Tellerdurchmesser
(Fotoquelle: Privat)

-------------------------------------------------------------------------------------

BI4: Geometrie der mir derzeit bekannten Nockenwellen (ohne Gewähr)
(Quelle: Privatarchiv)

-------------------------------------------------------------------------------------

Saturno/Piuma/BI4: Lagerliste in Revision 1 (ohne Gewähr)
(Quelle: Privatarchiv)

-------------------------------------------------------------------------------------

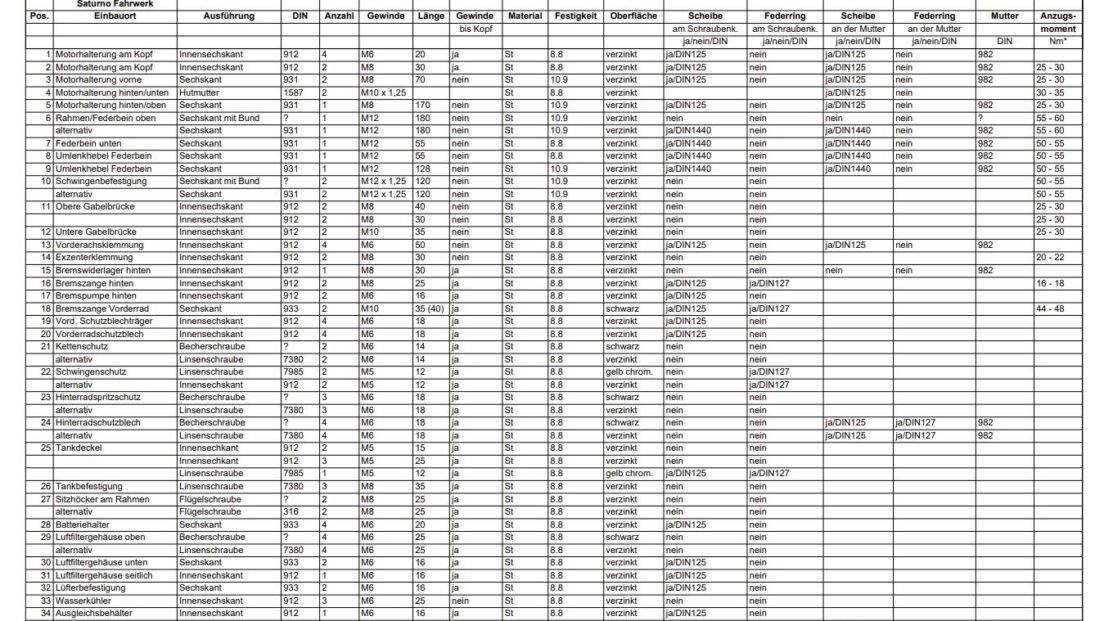
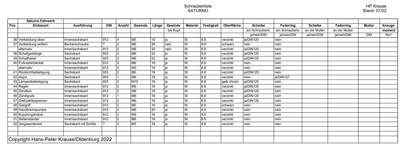
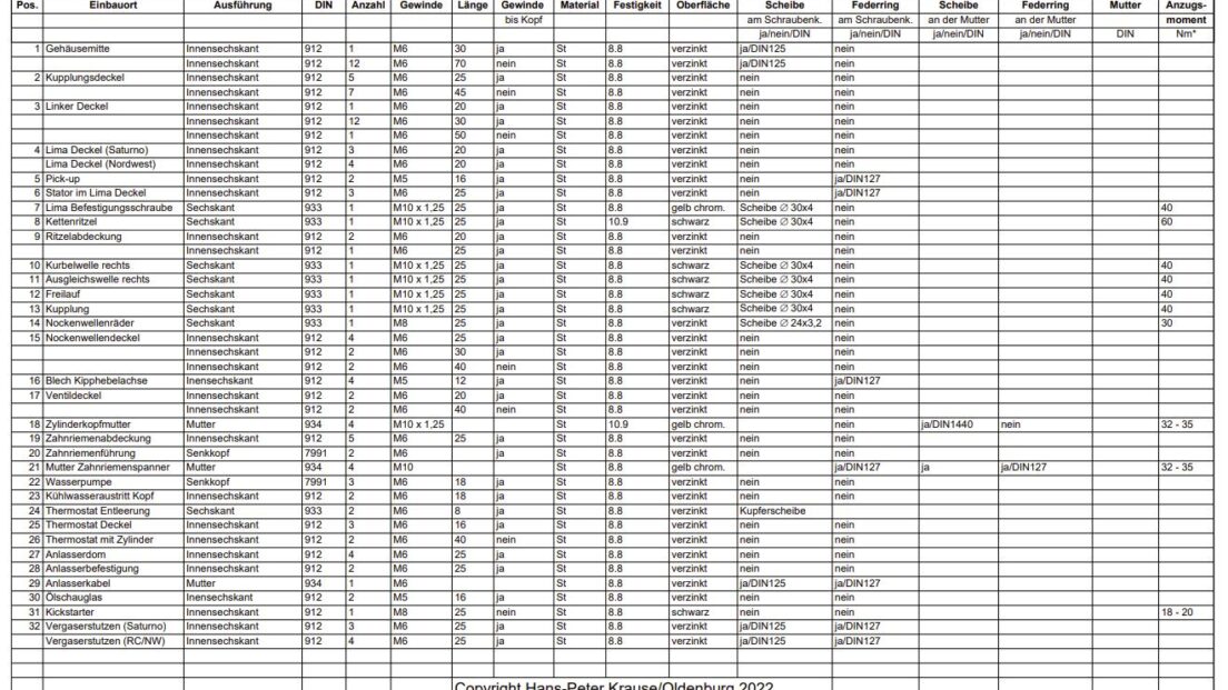
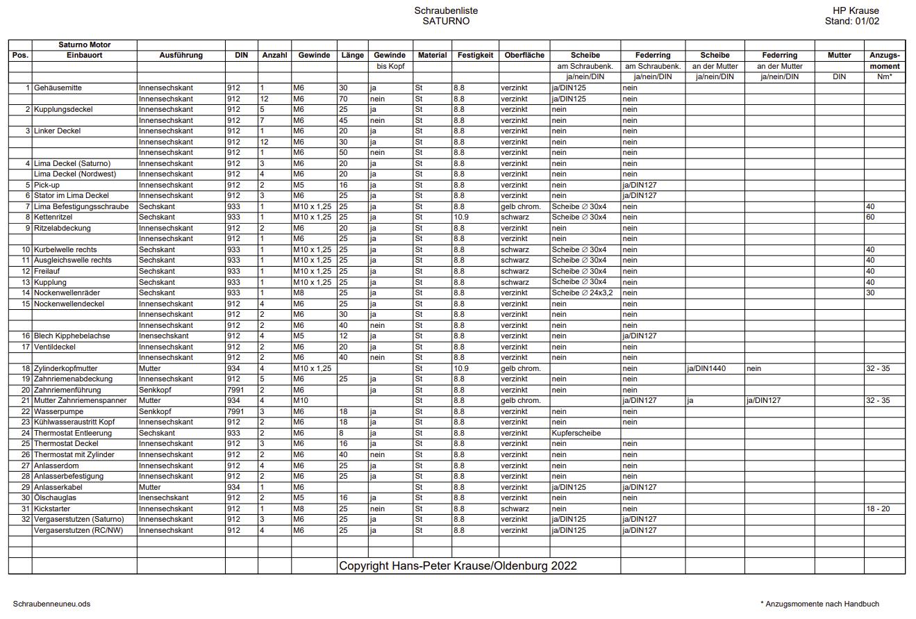
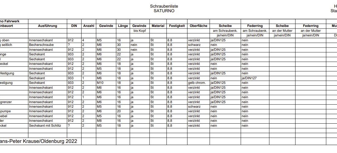
Saturno: Schraubenliste (ohne Gewähr)
(Quelle: Privatarchiv)

-------------------------------------------------------------------------------------

Gilera Motorräder: Rahmenprefix Nummern (Quelle: Internet)

-------------------------------------------------------------------------------------

Technisches Datenblatt Gilera Saturno 350, Rahmenprefix 220, Motorprefix 219
(Quelle: Facebook)

-------------------------------------------------------------------------------------

Technisches Datenblatt mit der Zuordnung der Rahmenvornummern:
Europa, Saturno 350 - 220
Europa, Saturno 500 - 222
Japan, Saturno 350 - NH01
Japan, Saturno 500 - NH02
(Quelle: Facebook)

-------------------------------------------------------------------------------------

Homologationsblatt Saturno 350 (Quelle: Facebook)

-------------------------------------------------------------------------------------

Homologationsblatt Saturno 500 (Quelle: Facebook)

-------------------------------------------------------------------------------------

Bekanntmachung Saturno IOM 350/500 (Englisch)
(Quelle: Facebook)

-------------------------------------------------------------------------------------

Bekanntmachung Saturno IOM 350/500 (Japanisch)
(Quelle: Facebook)

-------------------------------------------------------------------------------------

Produkt-Kategorien